关于
业务流程
产品&装置
解决方案
大流量气体恒温恒湿系统
SOEC热管理
小流量气体恒温恒湿系统
新闻
思考与分享
联系我们
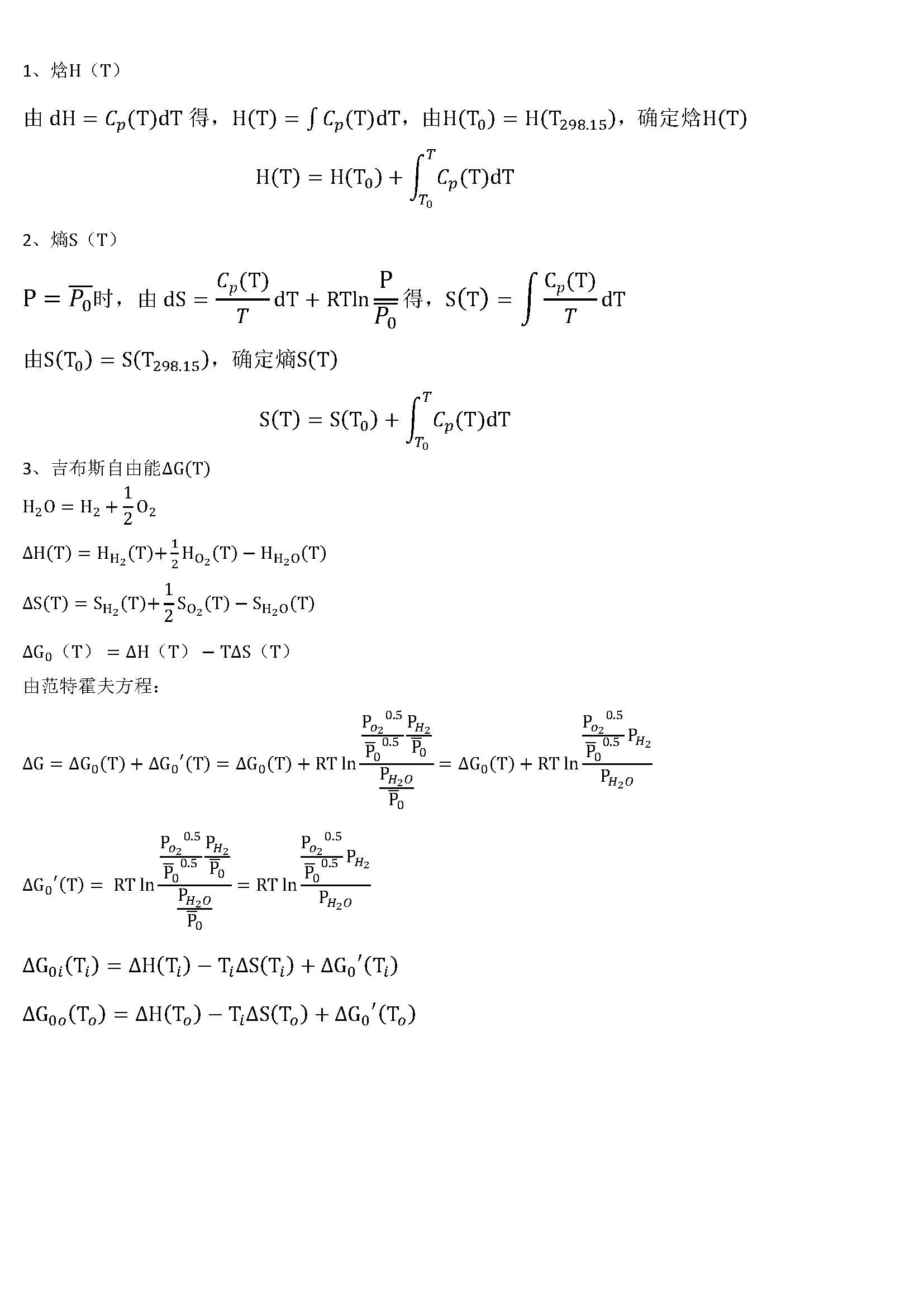
SOC焓、熵、吉布期自由能
2025-8-25 11:58:41
您可以给我们发送邮件到
sales@fluider.com
或者拨打电话
0411-86310225/86301405
联系我们
Contact Us
如果您对我们的产品或者服务感兴趣,请联系我们的客服哦!
查看详情
关于
业务流程
产品&装置
解决方案
大流量气体恒温恒湿系统
SOEC热管理
小流量气体恒温恒湿系统
新闻
思考与分享
联系